• Home
  • M.Sc. 2-year Programme.

M.Sc. 2-year Programme.

About GATE (PSUs):

M.Sc. 2-year Programme.

The Graduate Aptitude Test in Engineering (GATE)

is an examination that primarily tests the comprehensive understanding of various undergraduate subjects in engineering and science for admission into the Master’s Program and Job in Public Sector Companies. GATE is conducted jointly by the Indian Institute of Science and seven Indian Institutes of Technologies at Roorkee, Delhi, Guwahati, Kanpur, Kharagpur, Chennai (Madras) and Mumbai (Bombay) on behalf of the National Coordination Board – GATE, Department of Higher Education, Ministry of Education (MoE), Government of India.

A place where you can achieve

The GATE score of a candidate reflects the relative performance level of a candidate. The score is used for admissions to various post-graduate education programs (e.g. Master of Engineering, Master of Technology, Master of Architecture, Doctor of Philosophy) in Indian higher education institutes, with financial assistance provided by MHRD and other government agencies. Recently, GATE scores are also being used by several Indian public sector undertakings for recruiting graduate engineers in entry-level positions. It is one of the most competitive examinations in India. GATE is also recognized by various institutes outside India, such as Nanyang Technological University in Singapore.

Eligibility/Qualification:

The following students are eligible to take GATE:

  • Bachelor's degree holders in Engineering / Technology / Architecture (3 years after 10+2/ 10+2+3(ongoing)/ 10+2+4(ongoing)/ Post-B.Sc./ Post-Diploma) and those who are in the final year of such programs (Also prefinal year of B. tech).
  • Master's degree holders in any branch of Science/Mathematics/Statistics/Computer Applications or equivalent and those who are in the final year of such programs.
  • Candidates in the second or higher year of Four-year integrated master's degree programs (Post-B.Sc.) in Engineering / Technology.
  • Candidates in the fourth or higher year of Five-year integrated master's degree programs or Dual Degree programs in Engineering / Technology.
  • Candidates with qualifications obtained through examinations conducted by professional societies recognized by UGC/AICTE (e.g., AMIE by IE(India), AMICE by the Institute of Civil Engineers (India)-ICE(I), AMIETE by IETE(India)) as equivalent to B.E./B.Tech.
Those who have completed section A or equivalent of such professional courses are also eligible.There is no age limit criterion defined by the exam conducting authority to appear in GATE
Duration and Examination type:

The examination is of 3 hours duration, and contains a total of 65 questions worth a maximum of 100 marks. The examination for all the papers is carried out in an online Computer Based Test (CBT) mode where the candidates are shown the questions in a random sequence on a computer screen. The questions consist of some Multiple-Choice Questions or MCQs (four answer options out of which only ONE is correct, which has to be chosen). Remaining questions may be of Multiple Select Questions or MSQs (four answer options out of which ONE or MORE than ONE is/are correct, hence correct options need to be chosen) and/or Numerical Answer Type questions or NATs (answer is a real number, to be entered via an on-screen keypad and computer mouse).

Combination of TWO Papers Allowed to Appear in GATE for GEOLOGY Aspirants:

Code of The First (Primary) Paper Codes of Papers Allowed
as The Second Paper
GG MN/ PE / PH

(*GG = Geology and Geophysics, *MN = Mining Engineering,

*PE = Petroleum Engineering, *PH = Physics).

*Note: Candidates opting to appear in TWO subject papers must have a primary choice of paper, which will be their default choice and second choice of paper, which has to be chosen from the allowed combinations given in the Table. Combinations other than the listed ones are NOT allowed. Under unforeseen circumstances, GATE 2021 committee has the rights to remove certain combinations listed in the Table at a later date. In such case, the fee paid towards the second paper will be refunded to the candidates. Also note that the examination centre for candidate to appear for the second paper may be different (but in same city) from that for the first paper due to the infrastructure and scheduling constraints. GATE committee is NOT liable for any legal obligations related to this issue.

Questions and Marking Scheme:

The examination will consist of totally 65 questions, segregated as One-mark and Two-mark questions. Out of 65 questions, 10 questions will be from General Aptitude (Verbal and basics Numerical ability) and 55 questions will be Technical, based on the Paper chosen. The General Aptitude section will have 5 One-mark questions and 5 Two-mark questions, accounting for about 15% of total marks. The Technical section and Engineering Mathematics section will combinedly have 25 One-mark questions and 30 Two-mark questions, accounting for about 85% of total marks. Further, all the sections may have some Multiple-Choice Questions or MCQs, while remaining questions may be Multiple Select Questions or MSQs and/or Numerical Answer Type questions or NATs. The examination awards negative marks for wrong MCQ answers. Usually, 1/3rd of original marks will be deducted for wrong MCQ answers (i.e., -0.33 for wrong One-mark answers and -0.66 for wrong Two-mark answers) while there are no negative marks for MSQs and NATs. Also, there is NO partial credit for MSQs and NATs.

Result and Test Score:

GATE results are usually declared about one month after the examinations are over. The results show the total marks scored by a candidate, the GATE score, the all-India rank (AIR) and the cut off marks for various categories in the candidate's paper. The score is valid for 3 years from the date of announcement of the GATE results. The score cards are issued only to qualified candidates.

Normalized GATE Score
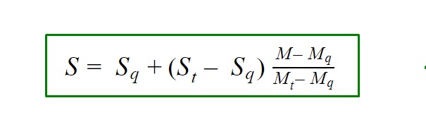
From GATE 2014 onward, a candidate's GATE score is computed by the following new formula.

S = Score (normalized) of a candidate,
M = Marks obtained by a candidate ("normalized marks" in case of multiple-session subjects CE, CS, EC, EE and ME),
Mq = Qualifying marks for general category candidates in that subject (usually 25 or μ + σ, whichever is higher),
μ = Average (i.e., arithmetic mean) of marks of all candidates in that subject,
σ = Standard deviation of marks of all candidates in that subject,
Mt = Average marks of top 0.1 % candidates (for subjects with 10000 or more appeared candidates) or top 10 candidates (for subjects with less than 10000 appeared candidates),
St = 900 = Score assigned to Mt,
Sq = 350 = Score assigned to Mq.

Percentile:
A candidate's percentile denotes the percentage of candidates scoring lower than that particular candidate. It is calculated as:
ABOUT CSIR-NET

M.Sc. 2-year Programme.

CSIR NET stands for Council of Scientific & Industrial Research – National Eligibility Test.

It is a national-level exam conducted by the National Testing Agency (NTA) for the candidates who want to choose Junior Research Fellowship (JRF) or Lectureship (LS) as their career.

A place where you can achieve

NTA CSIR UGC NET is conducted in 5 subjects: Life Sciences, Physical Sciences, Chemical Sciences, Earth Sciences, and Mathematical Sciences, twice a year.

Candidates, who qualify for this exam are eligible to become lecturers in the Science & Technology subjects only.

NTA started conducting this exam from December 2019 onwards. Earlier it was used to be conducted by the CSIR.

CSIR NET Frequently Asked Questions (FAQs):

Below are the most asked questions related to the NTA CSIR NET Exam.

Eligibility/Qualification:

The following students are eligible to take CSIR - NET:
  • Candidates must have pursued BS-MS/M.Sc./BS- 4 Years or any equivalent degree in Earth Sciences.
  • In the above-mentioned qualifications, candidates must satisfy the minimum percentage CSIR NET eligibility criteria which are given below: -
    • For General and OBC Candidates - 55% Marks.
    • For ST/SC/PWD Candidates - 50% Marks.
  • Maximum Age – 28 years as on 1st January 2021.
  • Age Relaxation – Up to 5 Years for SC/ST/OBC/ PwD/Female Applicants & 3 years in case of OBC (non-creamy layer).
  • Candidates, who have enrolled in M.Sc. Course or have completed any of the above-mentioned CSIR NET exam qualification as on the closing date of online submission of CSIR NET Application Form, can apply for the exam.
  • Candidates who have enrolled in the Integrated MS-PhD program or have completed their B.Sc. (Hons) or equivalent degree are also eligible to apply for the exam.

Duration and Examination type

The examination is of 3 hours duration, and contains a total of 150 questions worth a maximum of 200 marks. The examination for all the papers is carried out in an online Computer Based Test (CBT) mode where the candidates are shown the questions in a random sequence on a computer screen. The questions consist of some Multiple-Choice Questions or MCQs (four answer options out of which only ONE is correct, which has to be chosen).

Questions and Marking Scheme


Sections No. of Questions given No. of Questions to be attempted. Marks Neg. Marking
PART-A 20 15 30 0.5
PART-B 50 35 70 0.5
PART-C 80 25 100 1.32

Result and Test Score

Result is a conclusion of your performance in the exam. It defines that you are qualified for a particular post or not.

Candidates who have appeared in this examination can check their results & scorecard from the official website i.e. (https://nta.ac.in/Csirexam)

How to Check NTA CSIR NET Result if Forgot the Application Number?

In case if you forgot the application number, you must recover it to check CSIR NET result.

To get all the credentials back, you should follow the below-mentioned procedure.

Step 1 – Visit the official website of NTA and click on the CSIR NET result link.

Step 2 – Then follow the “Forgot Application No” link.

Step 3 – Now a window will open where you have to fill all the required details like – Candidate Name, Father Name, Mother Name, DOB & Security pin.

Step 4 – Click on the button “Get Application Number”.

Step 5 – After this, you will get your CSIR NET Application Form Number.

Step 6 – Once the form number is recovered, follow the Previous procedure to download the CSIR NET result.

About UPSC – GSI (Combined Geo-Scientist and Geologist Examination)

M.Sc. 2-year Programme.

Union Public Service Commission (UPSC) conducts a Combined Geo-Scientist and Geologist Examination (CGGE) for recruitment and selection to the post of Geologist, Geophysicist and Chemist Group 'A' in GSI and Junior Hydro-geologist (Scientist 'B'), Group 'A' for Central Ground Water Board. Every year, the Commission releases the Combined Geo-Scientist and Geologist Examination notification in September to shortlist the candidates for the posts. The selection will be based on a competitive examination. Their admission at all the stages of the examination will be purely provisional subject to satisfying the prescribed eligibility conditions

Candidates who want to apply online for this entrance exam will have to check all the required details released by the UPSC official website. The examination shall be conducted according to the norms and conditions of the UPSC. Candidates competing for selection to the particular posts of Combined Geo-Scientist and Geologist Examination will be required to appear in all the subjects mentioned against the respective category.

Eligibility/Qualification:

Nationality:A candidate must be either:

  • a Citizen of India, or
  • a subject of Nepal, or
  • a subject of Bhutan, or
  • a Tibetan refugee who came over to India before January 1, 1962, with the intention of permanently settling in India, or
  • a person of Indian origin who has migrated from Pakistan, Burma, Sri Lanka or East African Countries of Kenya, Uganda, the United Republic of Tanzania, Zambia, Malawi, Zaire, and Ethiopia or from Vietnam with the intention of permanently settling in India.

Note:

  • Provided that a candidate belonging to categories (b), (c), (d) and (e) above shall be a person in whose favour a certificate of eligibility has been issued by the Government of India.
  • A candidate in whose case a certificate of eligibility is necessary may be admitted to the examination but the offer of appointment may be given only after the necessary eligibility certificate has been issued to him/her by the Government of India.

Educational Qualification:

  • For Geologists Gr 'A' in Geological Survey of India: Candidates should have obtained Master’s degree in Geological Science or Geology or Applied Geology or Geo-Exploration or Mineral Exploration or Engineering Geology or Earth Science and Resource Management or Marine Geology or Oceanography and Geochemistry or Geological Technology or Coastal Area Studies or Petroleum Geosciences or Petroleum Exploration or Geophysical Technology from a recognized university.
  • For Geophysicists Gr 'A' in Geological Survey of India: Candidates should have obtained M.Sc. in Physics or Applied Physics or M.Sc. (Geophysics) or Integrated M.Sc. (Exploration Geophysics) or M.Sc. (Applied Geophysics) or M.Sc. (Marine Geophysics) Or M.Sc. (Tech.) (Applied Geophysics) from a recognized university.
  • For Chemists Group ‘A’ in Geological Survey of India: Candidates should hold M.Sc. in Chemistry or Applied Chemistry or Analytical Chemistry from a recognized university.
  • For Junior Hydrogeologists (Scientist B), Group 'A' in Central Ground Water Board: Master’s degree in Geology or Applied Geology or Marine Geology from a recognized university

Note:

  • The candidates possessing common qualifications in (i) (a) & (ii) (a) can apply for both the categories.
  • The candidates who will be eligible but who has taken a degree from a foreign university recognized by the government may also apply to the Commission and may be admitted to the examination.

Age Limit:

he candidates for this examination must have attained the age criteria as prescribed below:
  • For Geologist and Geophysicist and Chemist (Group 'A') in the Geological Survey of India, an attached office of Ministry of Mines, Government of India: The candidates must have attained the age of 21 years and must not have attained the age of 32 years as on January 1, 2021, i.e., he/she must have been born not earlier than January 2, 1989, and not later than January 1, 2000.
  • For Jr. Hydrogeologist (Scientist B) (Group A) in Central Ground Water Board, Ministry of Water Resources: The candidates must have attained the age of 21 years and must not have attained at the age of 32 years as on January 1, 2021, i.e., he/she must have been born not later than January 2, 1989, and not later than January 1, 2000.

Note:

  • There is age relaxation of five years for ex-servicemen category candidates and Scheduled Caste/Scheduled tribal. For OBC category, it is three years while for deaf-mute, blind and orthopedically disabled category applicants, it is 10 years.

Examination type

Combined Geo-Scientist Examination is conducted in three stages as follows:
  • Stage I: Preliminary Examination
  • Stage II: Main Examination
  • Stage III: Personality Test

The Preliminary examination will screen the aspirants for taking the Main examination. It will be a Computer Based Examination and consists of objective type questions having two papers. Marks secured in this examination will be counted for deciding the final merit.

Duration, Papers and Marking Scheme:

Combined Geo-Scientist (Preliminary) Exam:

DURATION PAPERS MARKS
09:30 AM to 11:30 AM General Studies (Common for all). 100
02:00 PM to 04:00 PM Stream specific subject paper
1. Geology
2. Hydrogeology
3. Geophysics
4. Chemistry
300


Combined Geo-Scientist (Mains) Exam:


DAY DURATION PAPERS MARKS
Day 1 09:00 AM to 12:00 AM. GEOLOGY PAPER 1 /
GEOPHYSICS PAPER 1/
CHEMISTRY PAPER 1
200
02:00 PM – 05:00 PM. GEOLOGY PAPER II /
GEOPHYSICS PAPER II/
CHEMISTRY PAPER II
200
Day 2 09:00 AM – 12:00 AM. GEOLOGY PAPER III /
GEOPHYSICS PAPER III/
CHEMISTRY PAPER III
200
02:00 PM – 05:00 PM. HYDROGEOLOGY 200

Interview/Personality Test:

The Interview round is the final step for selection. Candidates with minimum qualifying marks in the CGGE Mains will be called for the interview and it carries 200 marks.

Result and Test Score

The results of the Preliminary stage, Main stage, and Interview will be proclaimed at the official site i.e, (www.upsc.gov.in). The legitimacy list is set up based on the signs of the competitor in the composed tests and meeting.

Online Course : 2-YEAR M.Sc. PROGRAMME (2023-24)

(GATE + CSIR-NET + UPSC-GSI PRELIMS)

  • Complete and detailed coverage of Geology Syllabus
  • General Aptitude
  • Basic Physics and Chemistry
  • 30+ Sessions
  • 200+ Videos
  • 25+ Assignments
  • A combination of well explained short-cuts, concepts, their application in form of lecture videos, illustrations and diagrams, texts and unlimited practice.
  • Practice: 1500+ QA | 25+ Topic-wise tests | 2 Full length Mock Test Papers | 1 All India Level Mock Exam (Geology)
  • Complete and Detailed Solutions of the Test Papers
Speciality:
  • 24x7 Doubt Clarification from any material, and not just AES’s.
  • Timing: Lectures will be uploaded daily at 8 P.M., 5 days a week.
  • On Sunday’s, LIVE Doubt Session.
  • You CANNOT miss a class at AES, as all the lecture videos will remain in your classroom throughout your Course duration and you can go through it at any point of time.
  • There is absolutely NO LIMIT on the No. of Views and Watch Hours.

Duration : 2-YEAR

Fee : Rs. 16,500 /- Rs. 20,500 /-

Offline Course : 2-YEAR M.Sc. PROGRAMME (2023-24)

(GATE + CSIR-NET + UPSC-GSI PRELIMS)

  • Complete and detailed coverage of Geology Syllabus
  • General Aptitude
  • Basic Physics and Chemistry
  • 200+ Lecture Videos (Free for OFFLINE Students)
  • 25+ Assignments
  • FIELD STUDY in the month of September-October.
  • Several interaction programmes with the people pursuing their Research from University of Michigan.
  • Interaction with industrial experts from Schlumberger, Coal India, ONGC and Geological Survey of India.
  • A combination of well explained short-cuts, concepts, their application in form of lecture videos, illustrations and diagrams, texts and unlimited practice.
  • Practice:1500+ QA | 25+ Topic-wise tests | 2 Full length Mock Test Papers | 1 All India Level Mock Exam (Geology)
  • Complete and Detailed Solutions of the Test Papers as well as their Discussions.
Speciality:
  • 24x7 Doubt Clarification from any material, and not just AES’s.
  • Timing: Lectures will be conducted daily according to the respective Batch Timings, 5 days a week.
  • On Sunday’s, Weekly TESTS will be conducted along with Doubt Session.
  • You CANNOT miss a class at AES, as all the lecture videos will remain in your classroom throughout your Course duration and you can go through it at any point of time.
  • There is absolutely NO LIMIT on the No. of Views and Watch Hours.

Duration: 2-YEAR

Fee: Rs. 40,500 /- Rs. 45,500/-